Blog
بحث عن التسارع Doc
خريطة شمال بيت الوطن القاهرة الجديدة
خطة علوم الحاسب جامعة الملك سعود
خلفيات الشيخ محمد بن زايد وهو صغير
خريطة المملكة العربية السعودية للتصميم
دانه ناصر صباح الأحمد الصباح
خاتمة بحث عن الرسول قدوة
خلفيات محمد بن سلمان رسم
خطاب فتح حساب بنكي للعامل
تعريف التسارع موضوع
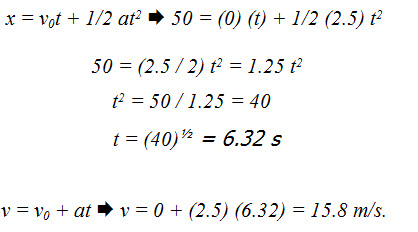
الدرس الأول التسارع العجلة Physics 1
بحث عن الحركة الدورانية المرسال
بحث عن انواع التسارع وقوانينها يلا نذاكر
السقوط الحر
التسارع التعجيل اللحظي و الحركة بعجلة منتظمة
بحث عن التسارع موسوعة
Pt0h Zumxcvm6m
بحث عن القوة والحركة موضوع
1 Cinematique
الدرس الأول التسارع العجلة Physics 1
التسارع التعجيل اللحظي و الحركة بعجلة منتظمة
بحث عن السرعة المتجهة موضوع
التسارع فيزياء1 Youtube
بحث عن قانون الإزاحة معلومة ثقافية
التسارع في الفيزياء سطور
تعريف التسارع موضوع
أوراق عمل رائعة لدرس التسارع الثابت لمبحث علوم الصف السابع ملتقى تعليم فلسطين
بحث عن القوة والحركة بيت البحوث
التسارع التعجيل اللحظي و الحركة بعجلة منتظمة
Source :
pinterest.com
Random Posts
الدراسات العليا ام القرى
الدخول على الايميل الجامعي
السكر الطبيعي بعد الاكل بثلاث ساعات
الجندي العالمي يوم الحساب
الدروس المهمة لعامة الأمة Pdf
الخدمات الالكترونية معهد الادارة
الرقم الضريبي للبنك الاهلي
الدليل الاجرائي لمحضر المختبر
الشيخ سلطان بن سحيم آل ثاني
الدخول إلى الرياض المالية اون لاين
الدينار الكويتي كم ريال سعودي
الدخول لبوابة الرياض التعليمية
الذين يذكرون الله قياما وقعودا وعلى جنوبهم تفسير
الرياض اون لاين الدخول
الدفاع المدني بالمدينة المنورة
الراجحي فتح حساب مؤسسة
السكر الطبيعي بعد الاكل بساعتين
السعوديون والحل الإسلامي الطبعة الأولى
الخدمات الإلكترونية مكتب العمل
الخدمات الالكترونية جامعة سطام